티스토리 뷰
오차역전파법(Backpropagation)은 딥러닝 모델 학습 중 가중치 매개변수의 기울기를 효과적으로 계산하는 수학적 방식입니다. 딥러닝의 오차역전파법은 손실함수의 비용을 최소화하는 가중치를 구하는 것을 목표로 동작합니다. 이를 위해서, X의 변화에 따른 Y의 변화를 알아보기 위해 계산 그래프를 그리는 것이 중요합니다.

위 이미지는 x*y+z라는 함수를 표현한 계산 그래프입니다. 각각의 매개변수에 값을 대입시켜 함수의 값을 구하는 방식을 딥러닝에서는 순전파라고 부릅니다. 하지만 딥러닝에서 처음에 매개변수에 대입시킨 값이 손실함수의 비용을 최소화하는지는 알 수 없습니다. 따라서 각 매개변수의 기울기를 구해 손실함수의 비용을 최소화하는 값으로 업데이트하는 것이 필요합니다. 그 역할을 하는 것이 오차역전파법(Backpropagation)입니다.
오차역전파법(Backpropagation)은 순전파와 다르게 계산 프로세스가 반대로 진행됩니다. 가장 중요한 것은 매개변수의 값이 변할 때 손실함수 값의 변화를 알아야 하기 때문에 각 변수에 대한 미분 계산과 연쇄 법칙을 동반합니다.

위의 예시에서 z의 변화에 따른 f값의 변화를 알아보기 위해서는 f = g+z라는 식에서 z에 대해 미분하면 됩니다.

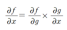
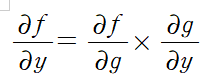
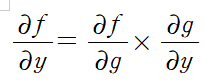
두 번째로 x의 값을 업데이트하기 위해서는 연쇄법칙을 이용해야 합니다. 전체 식 x*y+z에서 x*y를 g로 표현한 다음 함수 f를 함수 g에 대한 미분값을 연결해야 f를 x에 대해 미분할 수 있기 때문입니다.




결론적으로 오차역전파법(Backpropagation)은 딥러닝 구조에서 여러 개의 신경망이 연결되어서 수많은 매개변수의 값을 조합해 학습 최적화를 이루는 방법입니다. 따라서 최적의 조합을 찾는 데 매우 많은 계산이 필요합니다. 앞으로 딥러닝에서 매개변수의 값을 최적화를 이루는 방식에 대해 설명하겠습니다.
'딥러닝' 카테고리의 다른 글
| Attention (0) | 2025.04.21 |
|---|---|
| Seq2Seq (0) | 2025.04.16 |
| 적대적 생성 신경망(GAN) (0) | 2024.07.11 |
| RNN (Recurrent Neural Network) (0) | 2024.07.08 |
| [3] LSTM(Long Short-Term Memory) (0) | 2024.06.27 |
- pca #주성분분석 #특이값분해 #고유값분해 #공분산행렬 #차원의 저주
- # 프로그래머스 # 카펫 # 완전탐색
- 머신러닝 #xgboost #
- 로지스틱 회귀 #오즈비 #최대우도추정법 #머신러닝
- 프로젝트 #머신러닝 #regression #eda #preprocessing #modeling
- #polars #대용량 데이터셋 처리
- #프로그래머스 #안전지대 #시뮬레이션
- #opencv #이미지 연산 #합성
- #자연어 처리 #정수 인코딩 #빈도 수 기반
- randomforest #bagging #머신러닝 #하이퍼파라미터 튜닝
- #seq2seq #encoder #decoder #teacher forcing
- #웹 프로그래밍 #서버 #클라이언트 #http #was
- #docker #container #docker command
- #django #mvt 패턴
- #docker #docker compose
- #tf idf
- 잘라서 배열로 저장하기 #2차원으로 만들기
- #docker #image #build #dockerfile
- #opencv #이미지 읽기 #이미지 제작 #관심영역 지정 #스레시홀딩
- python #프로그래머스 #겹치는선분의길이
- 자연어 처리 #정제 #정규표현식 #어간 추출 #표제어 추출
- #python #프로그래머스 #외계어사전 #itertools #순열과조합
- nlp #토큰화 #nltk #konply
- #with recursive #입양시각 구하기(2) #mysql
- 머신러닝 #lightgbm #goss #ebf
- #물고기 종류별 대어 찾기 #즐겨찾기가 가장 많은 식당 정보 출력하기 #mysql #programmers
- #attention #deeplearning
- 머신러닝 #project #classification #dacon
- # 할인행사 #counter #딕셔너리 #프로그래머스
- # 프로그래머스 #연속된 부분수열의 합 #이중 포인터 #누적합